√100以上 xy み がわり 628057-Xyみがわり
ポケットモンスターの原点は、1996年 2月27日に発売されたゲームボーイ用ソフト『ポケットモンスター 赤・緑』である。 開発元はゲームフリーク。 コンセプトメーカーにしてディレクターを務めたのは、同社代表取締役でもある田尻智。 この作品が小学生を中心に、口コミから火が点き大 ポケモンxyわざ「みがわり」の効果と技をおぼえるポケモン一覧 『ポケットモンスターxy』の育成システムのひとつ『スパトレ』について掲載してい プラターヌ博士の攻略法!手持ち・おすすめポケモン紹介「みがわり」が残ったら「つるぎのまい」が基本です。運ゲっぽいですが、成功率は7割を超えます。 性格・努力値について ボーマンダが属する100族を抜くためにようき最速は確定です。 HPは「みがわり」を最大回数出せる4n1に調整します。
ポケモンで みがわりした相手にアンコールって効きますか 教えてくだ Yahoo 知恵袋
Xyみがわり
Xyみがわり- みがわり 1番道路 (メレメレ島):ポケモン研究所にいるククイ博士からもらう(殿堂入り後) わざマシン91 ラスターカノン 海の民の村 (ポニ島):右にあるハガネールボートに入り、下のドアから出た先 わざマシン92 トリックルームX/y対応について フーパに対応しました。 2340 フーパの種族値を訂正しました。お詫びいたします。 12/30 「ギルガルド」の攻撃実数値を計算する際、「ランドロス」の種族値を利用してしまう問題を修正。



印刷 みがわり ちょうはつ ポケモンの壁紙
みがわりポリゴン2はポリゴン2の蔓延した環境でポリゴン2に強いポリゴン2として大流行しました。 この記事ではポリゴン2のみがわりに関する話題をまとめていきます。 ポリゴン身代わりって強いの? 剣盾シングルバトル環境考察スレ Part126 引用元 名無しのポケモント最新更新外部RSS 7/13(Tue) (0300) ポケモン世界の奴らってポケモンにニックネーム付けない奴多いけどそこに愛はあるんか? (0130) 「『ポケモン赤緑』全てはここから始まった」←わかる 「君達のパパやママが知っているかもしれないぞ」←何言ってんだこいつw 相手の『みがわり』状態を貫通する。(ダブルバトル・トリプルバトル用) 技49 エコーボイス ノーマル 特殊 40 100 15 毎ターン、誰かが技『エコーボイス』を使う度に威力が高くなっていく。相手の『みがわり』状態を貫通する。 技52 きあいだま
タイプ 分類 威力 命中 pp 説明;技マシン全入手場所一覧 ポケットモンスター X Y攻略サイト ポケモンxy攻略 ゲーム攻略ga Mo For more information and source, ポケモンxy みがわり仕様変更まとめ 音技 すりぬけ貫通 ポケモン剣盾 ソードシールド 攻略 最新情報 Pokemon Times②みがわり貫通の技 XYに入り、音系の技はみがわりを貫通するようになりました。 むしのさざめき・ばくおんぱ・うたう・おしゃべり・ハイパーボイス・捨て台詞など ぺラップ・バクオング・オンバーン・デンチュラ・ウルガモスなどなど
ポケパルレを遊びつくそう! 『ポケットモンスター X・Y』で新たに登場した、ポケモンをかわいがって絆を深めることのできる新要素「ポケパルレ」。 ポケパルレでは、ポケモンをなでてあげるだけではなく、さまざまな遊び方で楽しむことができるぞ!みがわり Power Points Base Power Accuracy 10 0 0 Battle Effect The user makes a copy of itself using some of its HP The copy serves as the user's decoy InDepth Effect This move creates a Substitute on the field using 1/4 of its maximum Hit Points This substitute will receive all damage from attacks until its Hit Points are depleted 群れバトル位置関係 出現ポケモン一覧 役に立つ技・特性 お手軽な隠れ特性判別 捕獲しにくいポケモンと対策 コメント 群れバトル 草むらやどうくつで、まれにポケモンが5匹飛び出してきて群れバトルが発生す



Yamamoto Racing Zzr400 サイレンサー マフラー本体 Zzr400 Spec A ステンレス4 2 1 Spec A パーツ サイレンサー 仕様 カーボン ヤマモトレーシング パークアップバイク 店ヤマモトレーシング Yamamoto Racing マフラー本体 マフラー



人気の ポケモンxy 動画 4 7本 21 ニコニコ動画
たべのこし、アイスボディ等の回復4回でみがわり1回分のHP回復16n1 すなあらし、やけど、もうどく等のダメージ最小50n1 ちきゅうなげ等の固定ダメージをより多く耐える(最低ライン)191以下 Lv1ココドラのがむしゃらすなあらしダメージ耐え5以上 相手の『みがわり』状態を貫通する。(ダブルバトル・トリプルバトル用) 技49 エコーボイス ノーマル 特殊 40 100 15 毎ターン、誰かが技『エコーボイス』を使う度に威力が高くなっていく。相手の『みがわり』状態を貫通する。 技56 なげつける あく みがわりとは、 ガルーラ のポッケに入ってる アレ である。 ではなく ポケットモンスター シリーズのわざ。 体力の1/4を消費して作り出して自分の代わりに攻撃を受けさせる。 非常に多くの ポケモン が覚える事が出来るが、その姿は何故か全員共通で



Pokemane ポケモン管理ツール Xy Oras対応 For Android Apk Download



人気の ゲーム ポケモンxy対戦リンク 動画 7 140本 28 ニコニコ動画
Air Quality Telemetry System Login Interactive Map バトルハウス出現ポケモン情報 出現ポケモン 要注意ポケモン こだわりスカーフを持っていることがあるポケモン トリックルームを使ってくることがあるポケモン だいばくはつを使ってくることがあるポケモン 一撃必殺技、ほろびのうた、みちづれを 登録日: Tue 更新日: Sat 所要時間:約 6 分で読めます タグ一覧 BWで弱体化 GBACK Zワザ さような



Xy Lv1 Lv2 ポケモンの考察 簡易考察 マイナーポケモンガチ考察



99以上 Xy 技 マシン ポケモンの壁紙
トップページ XY わざマシン一覧 このサイトについて | プライバシーポリシー | ポケ徹@Twitter ポケットモンスター・ポケモン・Pokémonは任天堂・クリーチャーズ・ゲームフリークの登録商標です。 当サイトは個人ファンサイトであり、株式会社ポケモン他企業様とは一切関係 ポケモンxyの技マシンの入手場所のまとめです。入手方法の一覧表なので、まだ全て技マシンを手に入れてない方は参考にしてみてください。 技マシン番号 技の名前 入手場所わざマシン01 つめとぎ5番道路で拾えるわざマシン02 ドラゴンクロー チャンピオンロードで拾う(滝登りの後)わ新技一覧 味方1匹の特防のランクを1段階上げる。 相手の「まもる」「みきり」「キングシールド」「たたみがえし」「ニードルガード」「みがわり」を無視して攻撃が当たる。 味方1匹の特防のランクを1段階上げる。 5ターンの間、場を「エレキ



アイアント 当てれば強ポケ ポケモン育成論oras Xy ポケモン徹底攻略



教え技いちいち没収 シンクロ100 おいかぜ みがわり しんかのきせき サイドチェンジ 諸々のゲームバランス調整案 Mio ミオダっすミオダたん
技マシン「かえんほうしゃ」、「みがわり」、「かげぶんしん」、「じこあんじ」は いずれもヒャッコクシティのポケモンセンターにいるオカルトマニアからもらえます。 話しかける時間帯によってもらえる技マシンが違います。 ポケモンXYの時間帯は基本 リーフストーム くさ 特殊 130 90 5 攻撃後、100%の確率で自分の『とくこう』ランクが2段階下がる。 基本 相手の『みがわり』状態を貫通する。野生のポケモンの場合、相手が自分のレベルより高い場合は失敗する。 Lv52 ちょうのまい むし 変化 自分の『とくこう』『とくぼう』『すばやさ』ランクが1段階ずつ上がる。 レベルアップで覚える技 XY;



ポケモンxy たがやしてたら負けた トリプルオフ使用構築 限界集落トリプル村役場



ポケモンxy シングルレートシーズン3使用構築 ゲッコウ乱舞 ミガマモしてるだけじゃあだめなんだ



休校対策 ポケモン アニメ無料で視聴ができるようになる 期間限定 ポケモンスイッチ攻略press



ポケモンxy ミラクルこうかん ゴローン祭り編 自分用メモ 机上論 ブロマガ



Xyユキトド 死ぬまで身代わりしていたい



印刷 みがわり ちょうはつ ポケモンの壁紙



過度な期待を裏切らない



人気の ゲーム ポケモンxy対戦リンク 動画 7 140本 ニコニコ動画



Rockboard Rockboard X 5 4 Warwick Elrick 41 6 With 102 Cinque 新品 ワーウィック ロックボード Pedalboard ペダルボード Effector エフェクター Case ケース ギタープラネット Nik Gigbag



人気の ゲーム ポケモンxy対戦リンク 動画 7 140本 48 ニコニコ動画



人気の ゲーム ポケモンxy 動画 8 722本 45 ニコニコ動画



ポケモンについて 毒タイプのポケモンにくろいヘドロを持たせた時と Yahoo 知恵袋



0以上 Xy ヨーギラス ポケモンの壁紙



No 71 ゲンガー ポケモン プラチナ もりのようかん ゲンガー



Xy対戦用ポケモン紹介 色ジバコイル編 へこのゲーム日記



驚異の勝率85 シーズン9 Xyリーグ 最終1位 パーティ公開 かわいいポケモンで戦いたい



シングル キリンリキ りんごのメモ帳 仮



Xyポケ印象 ビビヨン 隠し穴



ポケモンxy シーズン1個人的なまとめ ポケモンは急所とボルト式ねこだまし



オンバーンの新着記事 アメーバブログ アメブロ



0以上 Xy みがわり ポケモンの壁紙



6v メタモン 配布 海外産6vメタモン配布企画が最高過ぎた Amp Petmd Com



ポケモンxy 普通にシングルレート へこのゲーム日記



ポケモンxy アイアント の入手方法と能力 攻略大百科



ギルガルドの弱点 隠し穴



ポイヒグライオンとか厨っぽい 猫とゲームとお菓子があれば今日も明日も大丈夫



ポケモンxy ボスゴドラ の入手方法と能力 攻略大百科



Xyのガルーラの歴史を振り返る シーズン1 6 幸運という名の幻想



ポケモンxy 普通にシングルレート へこのゲーム日記



ポケモンxy 第1回ぽちゃオフ使用構築 シーズン6スペシャルレート準拠 ホワイトロリータ



人気の ポケモンxy 動画 9 793本 49 ニコニコ動画



印刷 ポケモン Xy 地震



人気の ポケモンxy 動画 9 795本 5 ニコニコ動画



手動xyステージ 道具 工具 Diy 工具 Ym07a S1 Ym07a S1 神津精機 Ym07a S1 機械工具のラプラス



Oras みがわり ポケモンの壁紙



ポケモン Xy マップ イメージポケモンコレクション



ベスト みがわり アンコール ポケモンの壁紙



Q Tbn And9gctita2enn5cu8lliudozwfx7mp52pjr2mxonlgamqihos50jym3 Usqp Cau



Q Tbn And9gcr0zgejneotethudgetmeffqekdvofctqtdoduuigiftruzgnci Usqp Cau



ポケモンで みがわりした相手にアンコールって効きますか 教えてくだ Yahoo 知恵袋



ポケモンxy ダブル 構築 ガルーラゲンガー滅び フェアリーロック オルフェ的デカダンス雑記



最も欲しかった Xy 教え技 ポケモンの壁紙



Xyのポリゴン2 トキワのミドリ しゃわのポケモン記



ポケモンスプレッドシート Xy Oras シングルpgl情報推移



ポケモンxy ゴチルゼル の入手方法と能力 攻略大百科



ポケモンxy考察 レートが1800を超えたパーティをメモ Hiroakit Reports



無料ダウンロード めざめる パワー Xy ポケモンの壁紙



ポケモンxy イシツブテ の入手方法と能力 攻略大百科



メガシンジャの秘匿が著しい ポケモンのゲームバランス崩壊を整理してみよう Mio ミオダっすミオダたん



ゴチミル 害悪起点造り用フラッシュゴチミル ポケモン育成論oras Xy ポケモン徹底攻略



1



ミオダっすが見てきたメガ信者 エアプ ポケガキ ポケモン大衆の主な行動 Mio ミオダっすミオダたん



印刷 Xy み がわり ポケモンの壁紙



イワーク ポケモン図鑑ソードシールド ポケモン徹底攻略



人気の ゲーム ポケモンxy 動画 4 559本 29 ニコニコ動画



ポケモンxy 努力値調整って何だ こば速



1 シルフカンパニーは 11 階までである



メガボスゴドラ Hdメガボスゴドラ ポケモン育成論oras Xy ポケモン徹底攻略



Xyポケ印象 ギルガルド 隠し穴



パーティ編成のときに考えること Xy版 すかいどろっぷ



ポケモン X ウラ 技 壁紙画像マンガ



印刷 Xy み がわり ポケモンの壁紙



500以上のトップ画像をダウンロード 最も検索された ポケモン 技マシン Xy



Xy対策一覧 11 14 冷凍庫



ポケモン みがわり 技マシン 最高のキャラクターイラスト



ポケモン オメガ ルビー 育成 論 イメージポケモンコレクション



これまでで最高の特殊受け Xy すべてのぬりえ



ゲームと他諸諸の日記 ポケットモンスターxy育成記 第12回 エレザード



過度な期待を裏切らない



ポケモンxy シーズン4仕様構築 ムウマランド 全国ダブル しょぼーんのブログ



ポケモン100users入り 14 04 Pixiv年鑑 B



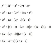
数学x2 2y2 Z2 3yz Xyがわかりません 見やすくしてみました Yahoo 知恵袋



ポケモンxy 普通にシングルレート へこのゲーム日記



Pokemane ポケモン管理ツール Xy Oras対応 For Android Apk Download



ポケモンxy がくしゅうそうちの入手方法と経験値の得られ方 ポケモニア



ゼクロム ポケモン図鑑ソードシールド ポケモン徹底攻略



なごやか ポケモンバトル



シママ ポケモン図鑑ウルトラサンムーン ポケモン徹底攻略



てんぶん 送料無料 オフィス用品 ニッポー Nbt 90 ベルタイマー 事務機器 オフィス用品の販売



Xyダブル ニャオニクスゲンガー なんてことのない日常



Xy追加ポケモン 感想 それはね その砂漠にたった一人だけでも花を愛してくれる人がいるって知ったとき



ポケモンxy グラエナ の入手方法と能力 攻略大百科



Oras みがわり ポケモンの壁紙



ダイマックスの恩恵で耐久遅延合戦だったシングルがかなり浄化 Mio ミオダっすミオダたん



ポケモンoras Xyに夢特性ジョウト御三家が配信 あずまや



Xyダブル ファストガードを使ってみた なんてことのない日常



真面目ジャローダで真面目に組んでみた Vanishment This World



人気の ポケモンxy 動画 1 245本 8 ニコニコ動画



ブラッキーリボンコンプへの道 第6世代 Xy Oras編 Mac勢のポケモン記



ポケモン Xy 攻略 裏ワザ 最高のキャラクターイラスト



新しいコレクション Xy タイプ相性 ポケモンの壁紙



人気の ポケモンxy対戦実況リンク 動画 287本 6 ニコニコ動画



みがわりの中古 未使用品を探そう メルカリ



1



メガシンジャの秘匿が著しい ポケモンのゲームバランス崩壊を整理してみよう Mio ミオダっすミオダたん



ハッピータイム の マーイーカ が ポケモンセンター全店で配信予定


コメント
コメントを投稿